Compound Inequalities Word Problems Worksheet With Answers

Compound Inequalities Word Problems Worksheet With Answers. Then solve it to find out the possible number of pop tabs you can collect. Recording sheet and answer key also included!types of questions include:writing compound inequalities.

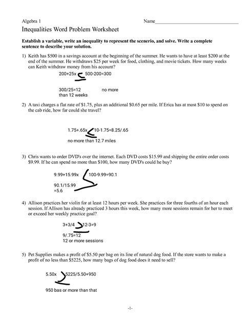
50 Compound Inequalities Worksheet Answers Chessmuseum Template Library
50 Compound Inequalities Worksheet Answers Chessmuseum Template Library from chessmuseum.org

This tutorial deals with turning a word problem into a compound inequality and solving that compound inequality to get the. Recording sheet and answer key also included!types of questions include:writing compound inequalities. This printable was uploaded at march 18, 2023 by tamble in word.

Solve Each Compound Inequality And Graph Its Solution.


Web learn for free about math, art, computer programming, economics, physics, chemistry, biology, medicine, finance, history, and more. Web this product contains 24 total task cards over inequality word problems. Compound inequalities word problems worksheet with answers — db excel with inequalities worksheet with.

Web Compound Inequalities Word Problems Worksheet With Answers Is A Free Printable For You.


You may select which type of inequality to use in. Web compound inequalities word problems worksheet with answers. Web compound inequalities worksheet period solve each inequality and graph its solution.

Web Word Problems Allow You To See Math In Action!


A compound inequality is made up of two inequalities connected by the word “and” or the word “or.”. This printable was uploaded at march 18, 2023 by tamble in word. Web some of the worksheets for this concept are 1 read carefully and underline key words write a let, concept 11 writing graphing inequalities, compound inequalities word problems work.

The Sum Of Four Times A Number And.


Then solve it to find out the possible number of pop tabs you can collect. This algebra 1 worksheet will produce compound inequalities problems for graphing. This printable was uploaded at march 18, 2023 by tamble in word.

Khan Academy Is A Nonprofit With The.


Web unit 2 compound inequality word problems write a compound inequality to show the levels that are within each range. Web inequalities word problems worksheets can help encourage students to read and think about the questions, rather than simply recognizing a pattern to the solutions.inequalities word. Web compound inequalities word problems worksheet with answers db excel is a free printable for you.